Clinical Trial Enrollment Via AI
RECTIFIER seems to work.
This is an update on the Retrieval Augmented Generation Enabled Clinical Trial Infrastructure for Inclusion Exclusion Review (RECTIFIER) tool as tested and deployed by Massachusetts General Hospital in recruitment for a heart failure clinical trial. Clinical trial screening is a handy and low-risk application for AI, where inaccuracy in prediction does not suffer the dire consequences in direct patient care domains.
As described in this study report, the authors used a structured query of their electronic health record to identify a broad range of potential participants. The patients identified in the query were split into two cohorts: one for manual review as per typical research office procedures, and one in which the manual review was augmented by the RECTIFIER tool.
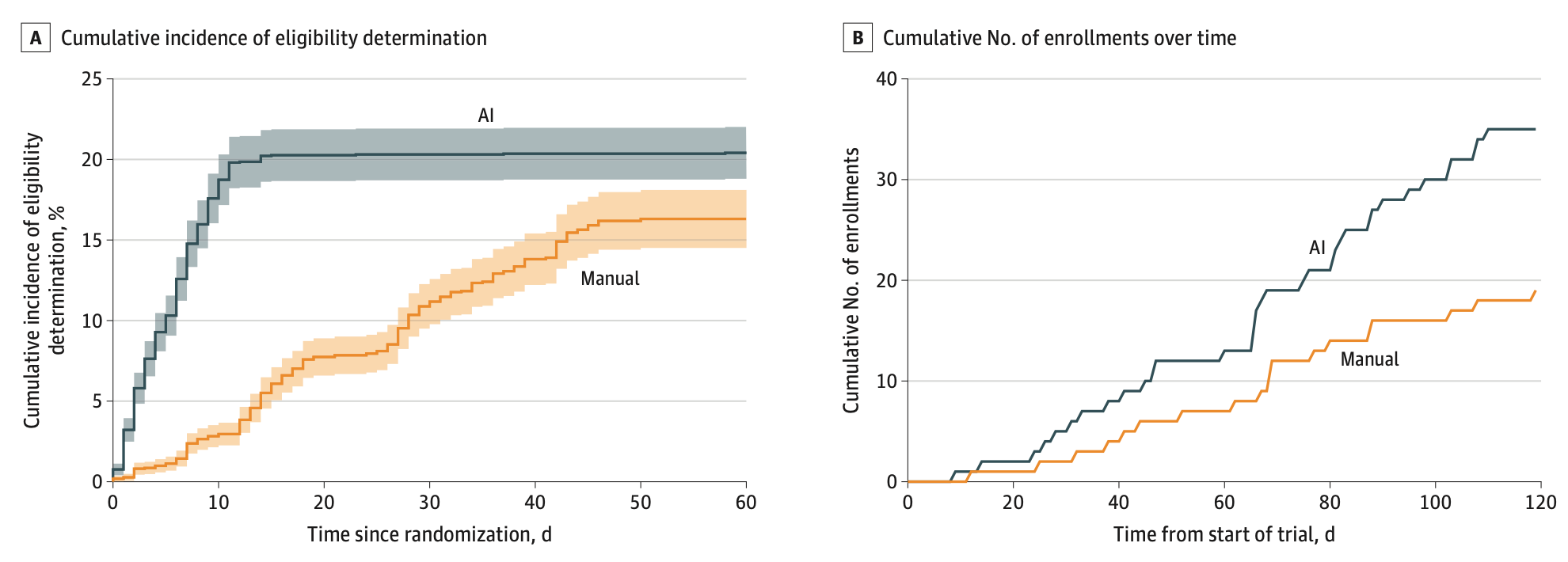
The key results are here in these figures:
As ought be readily apparent, AI augmented eligibility determination is clearly faster than manual comprehensive document review. Then, while only a surrogate for accuracy, the operations-oriented outcome of participant accrual also favored the AI augmentation.
A clear winner for AI in the deburdening of administrative tasks.

