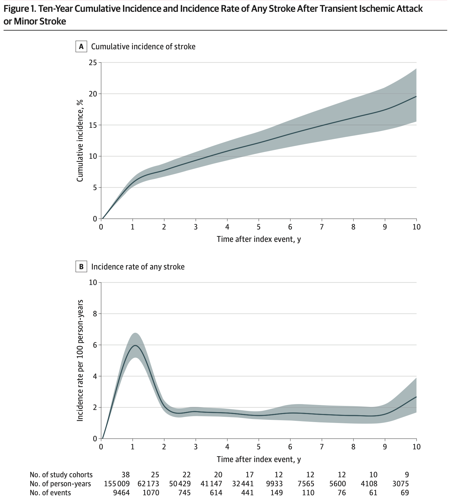
Early Risk of Stroke After TIA
Writ large: 155,000 person-years.
One stroke begets more strokes.
This is Well Known, but this is probably the largest demonstration of the temporal relationship between “transient ischemic attack or minor stroke” and a subsequent significant event. These authors pooled 171,068 patients across 38 cohort studies, and the short- and long-term risk is best visualized by this figure:
Of particular note, the peak hazard in the first 60-90 days, demonstrating clearly the importance of identification of sentinel events and the immediate treatment and follow-up this ought to trigger.

